结果出炉!连胜武获胜,四蓝委落败,郑丽文抛重磅,侯友宜尴尬了

国民党内部的新一轮权力洗牌终于落槌定音。就在外界还在猜测郑丽文上台后会如何清理“旧部”时,一场中央委员选举直接揭开了蓝营权力重组的大幕。结果出炉:连家次子连胜武高调入局,朱系人...

国民党内部的新一轮权力洗牌终于落槌定音。就在外界还在猜测郑丽文上台后会如何清理“旧部”时,一场中央委员选举直接揭开了蓝营权力重组的大幕。结果出炉:连家次子连胜武高调入局,朱系人马保住颜面 ,但包括多名资深民代在内的“门阀势力”却老马失蹄,集体出局 。

结果出炉!连胜武获胜,四蓝委落败	,郑丽文抛重磅,侯友宜尴尬了

【权力真空的填补,郑丽文正式开启“清场 ”模式】

这场选举最核心的看点 ,其实并不在于谁拿了第一,而是在于谁被“刷”了下来。

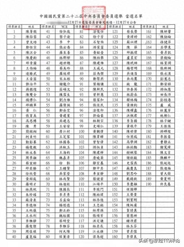
根据最新的计票结果,在190名当选中央委员中 ,朱立伦提名的不分区民代陈菁徽拿下了头名。作为前高雄政治常青树黄昭顺的女儿,陈菁徽的胜出在逻辑上并不令人意外,这本质上是党内旧有组织资源的一次定向输送  。但紧随其后的变动 ,才真正体现了郑丽文治下的政治新生态。

此前被视为党内中坚力量的四名现任蓝营民代——黄健豪、赖士葆、林沛祥以及林思铭 ,竟然在这次角逐中悉数落榜。更令人侧目的是,连云林张家的张丽善 、新竹的杨文科这两位拥有强大地方动员能力的县市首长,也在此次选举中折戟  。

这种规模的“名流落选” ,在国民党历史上是极其罕见的。表象上看,是这些大咖“没有积极拉票 ”,但深层逻辑在于 ,郑丽文正在通过重塑党内责任制,强制要求中央委员承担具体的募款责任 。说白了,想在党内占位子却不想出钱、不想出力的“不粘锅”时代已经结束了 。郑丽文这手“阳谋” ,实际上是在对党内那些只会消耗资源、不愿实质付出的旧势力进行一次战略性清场。

结果出炉!连胜武获胜,四蓝委落败,郑丽文抛重磅	,侯友宜尴尬了

【连家二少出山,连郑联盟背后的权力置换】

如果说四大民代的落败是“减法 ”,那么连胜武的获胜则是郑丽文政治布局中的“加法”。

连战次子连胜武此次名列第九 ,这也是他职业生涯中首次正式跨入党内决策层的门槛 。此前 ,连胜文一直是连家在政坛的代言人,而此次连胜武成功接棒,且排名极高 ,释放出的信号非常清晰:连家已经与郑丽文达成了深度的战略捆绑 。

郑丽文给予连家的是“政治入场券”,此前她已任命连胜武负责青年部工作,现在又助力其锁定“中常委 ”的入场券;而连家回馈给郑丽文的 ,则是其背后庞大的蓝营传统正统性支持和人脉资源 。

顺带一提,这次选举中,傅崐萁系统的陈俗蓉稳坐第二名。这再次印证了一个事实:在郑丽文的棋盘上 ,傅崐萁已经成为了一个不可或缺的重型砝码 6666 。郑 、连、傅三方势力合流的态势已经初步成型,这对于长期以来处于权力边缘或持观望态度的中间派来说,无疑是一次强力的震慑。

结果出炉!连胜武获胜	,四蓝委落败,郑丽文抛重磅,侯友宜尴尬了

【郑丽文抛出“一对一”重磅 ,侯友宜的处境愈发难堪】

就在名单公示后的第一时间 ,郑丽文再度抛出重磅炸弹:从下周起,她将逐一与蓝营区域民代进行一对一的面谈 。

这绝不是简单的嘘寒问暖,而是一次面对面的“政治效忠考核” 。谈话内容涵盖了蓝绿攻防的战略定调、地方经营的资源分配 ,以及最敏感的县市首长提名人选 。郑丽文这种“挨个过筛子 ”的做法,是在用最强硬的方式整合党内声音,彻底打破此前长期存在的“各玩各的 ”散沙局面。

而这种高强度的统合动作 ,让一直以“不粘锅”著称的侯友宜陷入了前所未有的尴尬地步 。

在近期的蓝绿攻防中,侯友宜多次发表模棱两可 、甚至带有“鸽派”倾向的言论,试图在激烈的对抗中维持其个人羽毛。尤其是在蓝白整合这个关乎蓝营命脉的问题上 ,面对记者的追问,侯友宜竟然选择“笑而不答 ” 。

可问题在于,郑丽文已经通过这一连串的人事任免和组织动员 ,向外界展示了什么叫作“雷厉风行” 。当郑丽文在前方冲锋陷阵、硬刚绿营时,侯友宜的消极应对和暧昧立场,在此时显得尤为扎眼 。

结果出炉!连胜武获胜	,四蓝委落败,郑丽文抛重磅,侯友宜尴尬了

【归根结底,国民党正在告别“精英政治”的虚伪】

归根结底 ,这场中央委员选举的结果,就是国民党从“名流分赃 ”向“战斗政党”转型的一次阵痛。

那些落选的民代和县市首长,本质上是无法适应郑丽文这种高强度的责任捆绑 。他们习惯了在国民党中央的庇护下享受地位 ,却在需要承担募款压力和作战任务时退缩 。而连胜武、陈菁徽以及各地方议长(如蒋根煌 、邱奕胜、戴锡钦)的胜出,则预示着未来的国民党权力核心将由具备实质资源(资金、地方势力 、动员力)的人掌控 。

可以说,郑丽文正在用一种近乎残酷的务实主义 ,把国民党的决策层从“养老院”变成“指挥所 ”。

至于那些还在岸边徘徊 、试图保持中立的人,恐怕很快就会发现,在这个被重新定义的棋局里 ,已经没有留给“观望者”的座位了 。侯友宜如果再不调整他的姿态,恐怕不仅是无地自容,更是要被边缘化到历史的角落里去了。

本文来自作者[郭利强]投稿,不代表视听号立场,如若转载,请注明出处:https://stddy.com/zlan/202512-69191.html

(1)

文章推荐

  • 新增确诊病例为1月16日以来最低(16日全国新增确诊病例多少)

    河北违规操办婚丧嫁娶将追责?1、是的,据河北高院微信公号消息,1月16日,河北省高级人民法院、河北省人民检察院、河北省公安厅发布通告,违反疫情防控规定操办婚丧嫁娶将被追责。2、因此,河北政府也发出了通告,禁止再去对婚丧嫁娶这样的事情大操大办,不允许村民们再聚集在一起。因为河北的第一例疫情就是因为参

    2025年06月14日
    145
  • 差最后一步!为换取访华资格,特朗普再让步,这下中国不好拒绝了

    #文章新锐创作者认证#​美国财政部长贝森特在7月1日接受采访的时候,公开呼吁中方能够增加对美国稀土出口量,指出现在的出口量实在是太低了,根本就不够用,他想尽快要求中方将对美国稀土的供应量,恢复4月4日之前的出口水平。中方外交部,对于美国财长的诉求态度一如之前,表示正在加紧进行审批,一听就是应付的话。

    2025年07月07日
    131
  • 31省新增12例病例.31省区市新增12例?

    10月25日陕西新增12例本土确诊病例和45例本土无症状月25日0-24时,陕西新增报告本土确诊病例12例,其中西安6例、汉中5例、咸阳1例;新增报告本土无症状感染者45例。出院5例、解除隔离医学观察27例。截至10月25日24时,现有在院隔离治疗本土确诊病例211例、隔离医学观察无症状感染者54

    2025年07月31日
    108
  • 我来教大家“多乐跑得快如何让系统发好牌(助赢神器通用版)

    这软件超厉害!中至赣州麻将软件出售(助赢神器购买)“我们专注于各类软件定制开发,已成功研发高效实用的软件系统。软件定制开发服务用获取专业解决方案。”中至赣州麻将软件出售是一款可以让一直输的玩家,快速成为一个“必胜”的ai辅助神器,有需要的用户可

    2025年09月08日
    86
  • 聚闲麻将其实是有挂的(真的有挂)/聚闲麻将挂如何买

    聚闲麻将的下载方法聚闲麻将近来正在进行系统升级。根据官方公告,系统升级时间定于2023年2月6日至2023年2月9日。在升级期间,用户将无法下载游戏或进行游戏体验。聚闲麻将的规则和玩法基于四川麻将、成都麻将、血战麻将、血流麻将和红中血流麻将进行优化。这种玩法被认为是云贵川渝地区最正宗的麻将

    2025年09月15日
    71
  • 实测分享“手机打麻将专用神器(专用辅牌神器免安装)

    软件神器超灵!微乐跑得快怎么调胜率(软挂神器)“我们专注于各类软件定制开发,已成功研发高效实用的软件系统。软件定制开发服务用获取专业解决方案。”微乐跑得快怎么调胜率是一款可以让一直输的玩家,快速成为一个“必胜”的ai辅助神器,有需要的用户可以加

    2025年09月19日
    71
  • 3分钟学会“手机外挂制作教程(专用辅牌神器免安装)

    软件神器爆赞!天天武汉麻将插件购买(辅助器通用版)“我们专注于各类软件定制开发,已成功研发高效实用的软件系统。软件定制开发服务用获取专业解决方案。”天天武汉麻将插件购买是一款可以让一直输的玩家,快速成为一个“必胜”的ai辅助神器,有需要的用户可

    2025年09月29日
    71
  • 分享辅助“雀神辅助器免费版ios”(详细透视教程)-今日头条

    软件神器优选!老友棋牌跑得快确实有挂的(辅助挂发牌规律)“我们专注于各类软件定制开发,已成功研发高效实用的软件系统。软件定制开发服务用获取专业解决方案。”老友棋牌跑得快确实有挂的是一款可以让一直输的玩家,快速成为一个“必胜”的ai辅助神器,有需

    2025年10月02日
    62
  • 太可惜了!世界上最大最古老的生土建筑城市,为啥会被废弃?

    在新疆吐鲁番盆地的亚尔乃孜沟谷中,一座“从大地中生长出来”的城市静静躺了两千多年,它便是交河故城。作为世界上最大、最古老、保存最完好的生土建筑城市,它没有一砖一瓦,而是完全由当地的黄土层“向下挖掘”而成,街道、房屋、寺庙、官署错落有致,宛如一座“地下迷宫”。您是否想象过,在新疆吐鲁番的茫茫

    2025年10月09日
    69
  • 善恶有报,移居英国仅2年,57岁吴秀波再迎噩耗,步入李易峰后尘

    文|富贵编辑|富贵曾经的星光为何黯淡。吴秀波的“双面人生”在娱乐圈,有些人来得快,去得也快;也有人红了半生,却终究敌不过人性的欲望与道德的考验。吴秀波,这个曾被无数观众称为“国民大叔”的演员,一度是电视剧与电影市场的宠儿,他的形象曾代表着成熟、稳重与魅力。可令人唏嘘的是,仅仅几年的时间,他从福布斯

    2025年12月22日
    17

发表回复

本站作者后才能评论

评论列表(4条)

  • 郭利强
    郭利强 2025年12月29日

    我是视听号的签约作者“郭利强”!

  • 郭利强
    郭利强 2025年12月29日

    希望本篇文章《结果出炉!连胜武获胜,四蓝委落败,郑丽文抛重磅,侯友宜尴尬了》能对你有所帮助!

  • 郭利强
    郭利强 2025年12月29日

    本站[视听号]内容主要涵盖:国足,欧洲杯,世界杯,篮球,欧冠,亚冠,英超,足球,综合体育

  • 郭利强
    郭利强 2025年12月29日

    本文概览:国民党内部的新一轮权力洗牌终于落槌定音。就在外界还在猜测郑丽文上台后会如何清理“旧部”时,一场中央委员选举直接揭开了蓝营权力重组的大幕。结果出炉:连家次子连胜武高调入局,朱系人...

    联系我们

    邮件:视听号@sina.com

    工作时间:周一至周五,9:30-18:30,节假日休息

    关注我们